Criza pandemică ne-a lăsat 100 000 de șomeri în plus

eurostat
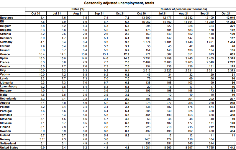
Rata şomajului în luna octombrie 2021 a înregistrat aceeași valoare ca și în luna precedentă
(5,3%). Numărul şomerilor (în vârstă de 15-74 ani) estimat pentru luna octombrie a anului 2021 a fost de 438 mii persoane, în creștere față de luna precedentă (436 mii persoane), cu 100 000 de persoane mai mult decât înainte de declanșarea pandemiei.



Citește și:
- 16:24 - Stat vs. Privat: Antreprenorii cer reformă urgentă în fața privilegiilor salariale din sectorul bugetar
- 15:54 - Sindicatele din Sănătate amenință cu proteste masive, revoltate de proiectul legii salarizării: „Inechitabilă, incompletă și profund defavorabilă”
- 12:53 - Când ești obligat să permiți accesul asociației de proprietari în apartament și ce riști dacă refuzi
- 10:47 - Becuri care pâlpâie, electrocasnice care se defectează. Un sibian a forțat ANRE să sancționeze distribuitorul de energie și a schimbat regula jocului
Mai multe articole despre
Urmărește știrile Realitatea Financiara și pe Google News














